next up previous contents index

2.2.2 Simple ODE: examples

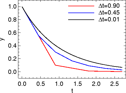
Figure 1: First order integration of ODE with different time-steps.
\includegraphics[width=8.0cm]{images/pde1d_ode_smalldt.ps} \includegraphics[width=8.0cm]{images/pde1d_ode_bigdt.ps}
Figure 1 shows examples for Eq. (75) for \bgroup\color{DEFcolor}$a=1$\egroup. The
$\displaystyle \mbox{{\color{HIGH1color}criterion for stability}:\index{stability!of ODE}}$ $\textstyle \hspace{2cm}$ $\displaystyle \Delta t< 2/a$ (76)
$\displaystyle \mbox{{\color{HIGH1color}criterion for positivity}:}$ $\textstyle \hspace{2cm}$ $\displaystyle \Delta t< 1/a$ (77)
have a simple interpretation: Too large time-steps lead to conflicts with the actual curvature of the solution.