|<
<
> > > > >
>|
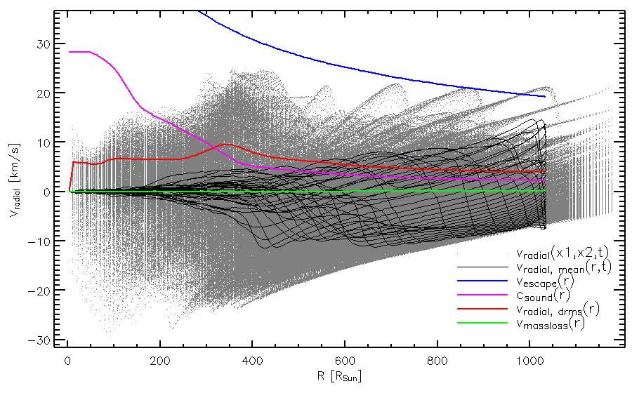
AGB star (st28gm06n06): Radial velocities