|<
<
> > > > >
>|
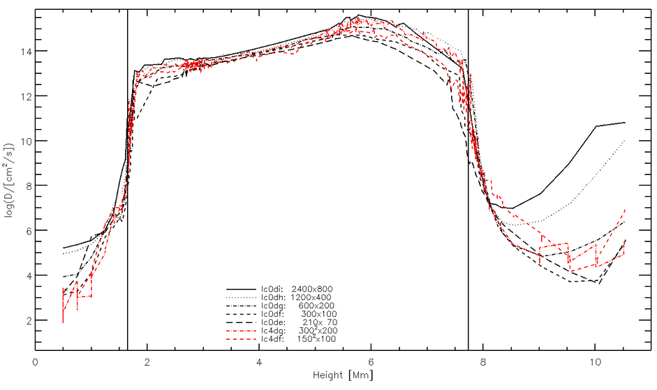
Diffusion coefficient versus height for various models